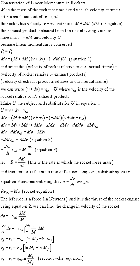
Rocket Equations from first principles

© copyright 2010 Stephen E. Mendes, Barbados.


P10C Homepage